English
全部
搜索
图片
视频
短视频
地图
资讯
更多
购物
航班
旅游
笔记本
报告不当内容
请选择下列任一选项。
无关
低俗内容
成人
儿童性侵犯
时长
全部
短(小于 5 分钟)
中(5-20 分钟)
长(大于 20 分钟)
日期
全部
过去 24 小时
过去一周
过去一个月
去年
清晰度
全部
低于 360p
360p 或更高
480p 或更高
720p 或更高
1080p 或更高
源
全部
Dailymotion
Vimeo
Metacafe
Hulu
VEVO
Myspace
MTV
CBS
Fox
CNN
MSN
价格
全部
免费
付费
清除筛选条件
安全搜索:
中等
严格
中等(默认)
关闭
筛选器
The Sun-Interactive Science Video Lesson (Teacher’s Guide Student
…
4 个月之前
teacherspayteachers.com
Force of gravity that Earth and the Sun exert on each other?
已浏览 5786 次
2024年1月10日
askfilo.com
5-PS2-1 Sun, Earth and Moon Gravity Google Classroom Lesson
2020年12月7日
teacherspayteachers.com
0:20
1.4M views · 10K reactions | Real Shape Of Earth 2 #earth #sun
…
已浏览 70.1万 次
1 周前
Facebook
Science Of Infinity
Earth and Sun Mini Lesson
已浏览 1 次
2024年3月19日
teacherspayteachers.com
3:09
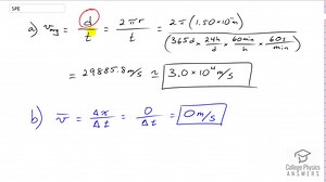
OpenStax College Physics Solution, Chapter 2, Problem 5 (Problems a
…
已浏览 441 次
2018年2月8日
collegephysicsanswers.com
4:47
269K views · 14K reactions | Astronomy & Earth in Space: Com
…
已浏览 8.2万 次
1 个月前
Facebook
Filipino Science Hub
56:02
Edexcel GCSE (9-1) Astronomy, Topic 3: Earth-Moon-Sun System
…
已浏览 8606 次
2020年12月5日
YouTube
Physics with Keith
12:33
SOLAR RADIATION GEOMETRY||EARTH BASIC GEOM
…
已浏览 3万 次
2020年5月30日
YouTube
BIMOL SINHA
10:07
Flat Earth Theory? What "I SAW" Whilst Astral Projecting.
已浏览 18.4万 次
2016年5月29日
YouTube
Ryan Cropper
7:36
1999 McDONALD'S HAPPY MEAL DRIVE-THRU ELECTRONIC SET VI
…
已浏览 26.9万 次
2018年12月29日
YouTube
FastFoodToyReviews
15:38
Earth Science Review Video 10: Astronomy Unit 3 - Suns Path
已浏览 1.2万 次
2019年12月7日
YouTube
I Teach You Science
32:53
Earth Geometry (2020 GCE exam paper 2, question 10)
已浏览 9.8万 次
2021年3月27日
YouTube
Jacob Sichamba Online Math
7:52
Change your profile picture to clippy. I'm serious
已浏览 487.4万 次
6 个月之前
YouTube
Louis Rossmann
28:41
Edmentum Geometry Unit1 Activity: Foundations of Geometry
已浏览 6690 次
2022年8月17日
YouTube
EducationMadeEasy
17:00
all transformation Combiners transformers earth wars | autobots
已浏览 4.8万 次
2025年2月20日
YouTube
ArceePLAY
2:36
Major Types of Rocks-Sedimentary-Igneous-Metamorphic
已浏览 3.9万 次
2024年6月12日
YouTube
MooMooMath and Science
50:16
Mod-02 Lec-02 Sun - Earth Geometry
已浏览 2.8万 次
2013年7月22日
YouTube
nptelhrd
5:46
Regents Earth Science - Lab Practical, Part-D of the Exam
已浏览 17.1万 次
2012年6月4日
YouTube
Treetest63
14:13
Lesson 15 - Lecture 1 - Structure of the Sun - 2020 - OpenStax
已浏览 457 次
2020年11月4日
YouTube
Introduction to Astronomy - Wagner
13:09
Geometry of the Earth (1 of 3: Basic shapes & ideas)
已浏览 9139 次
2017年8月13日
YouTube
Eddie Woo
2:28:41
2 Hours Of Earth, Solar & Space Facts To Fall Asleep To
已浏览 66万 次
2025年2月7日
YouTube
Spark
13:14
Lesson 0 - Lecture 5 - Solar Observation Assignment
已浏览 1403 次
2023年4月1日
YouTube
Introduction to Astronomy
17:51
Flat Earth Experiments (2/15) Size of the Sun
已浏览 1.3万 次
2016年4月9日
YouTube
Flat Earth Math
49:15
Edexcel GCSE (9-1) Astronomy, Topic 10: Solar Astronomy (summ
…
已浏览 4693 次
2021年4月5日
YouTube
Physics with Keith
8:50
Kn 6 Ls 2 The Earth and the Sun
已浏览 1.4万 次
2022年1月19日
YouTube
We'reLearningHere
12:26
How to Find the Hyperchrome Panther! (MrBeast Lab Swarms)
已浏览 44.7万 次
2025年1月29日
YouTube
catchuncks
2:20
Earth vs Sun 🌍☀️ | How Many Earths Fit in the Sun? | Mass, Size, Axis T
…
已浏览 2180 次
7 个月之前
YouTube
Data World
6:46
Physical Science 9.2a - The Earth Moon Sun System
已浏览 9 次
2015年3月21日
Dailymotion
Useless Knowledge
1:15:11
Veritasium: What Everyone Gets Wrong About AI and Learning – D
…
已浏览 475.4万 次
10 个月之前
YouTube
Perimeter Institute for Theoretical Physics
观看更多视频
更多类似内容
反馈