English
全部
搜索
图片
视频
短视频
地图
资讯
更多
购物
航班
旅游
笔记本
报告不当内容
请选择下列任一选项。
无关
低俗内容
成人
儿童性侵犯
时长
全部
短(小于 5 分钟)
中(5-20 分钟)
长(大于 20 分钟)
日期
全部
过去 24 小时
过去一周
过去一个月
去年
清晰度
全部
低于 360p
360p 或更高
480p 或更高
720p 或更高
1080p 或更高
源
全部
Dailymotion
Vimeo
Metacafe
Hulu
VEVO
Myspace
MTV
CBS
Fox
CNN
MSN
价格
全部
免费
付费
清除筛选条件
安全搜索:
中等
严格
中等(默认)
关闭
筛选器
synonym.com
How to Find Integers Between Two Positive Numbers | Synonym
Finding integers between two positive numbers will likely involve working a bit with decimals. Find integers between two positive numbers with help from an experienced math professional in this free video clip.
2013年10月8日
Integer Math Videos
1:15
Multiplying and Dividing Integers 💯💯💯 #Math #mathteachergon #akositeachergon #Mathhack #MathTutor #mathmadeeasy #MathematicsChallenge #mathdrill #Division #MULTIPLICATION #MathTutorials #integers | Math Tutorials
Facebook
Math Tutorials
已浏览 9.5万 次
11 个月之前
2:20
617K views · 3.9K reactions | Let your kids master the addition of integers with this! #basicmath #mathtutor #MathTrick #mathteachergon #mathhacks #mathematics #MathTutor #teachergon #math #mathreview #integers #addingintegers | Ako si Teacher Gon | Facebook
Facebook
Ako si Teacher Gon
已浏览 16.8万 次
2 周前
0:05
USEFUL INTEGERS MATH NOTES!! Don't forget to follow for more. Thank you po. #mathnotes #mathematics #mathtricks #MathTricksTutorial #maths #mathtrick #mathtutorial #basicmath #basicmathreview #viral #trending #educational #mathshortcut #mathhacks #tutorial #lovemath #mathematicstutorial #mathreview #reels #reelsvideo #reelsviral #reelsfb #fyp #FORYOU | Math Tricks Tutorial
Facebook
Math Tricks Tutorial
已浏览 3.9万 次
2024年5月2日
热门视频
Question:The sum of two positive integers is positive. Reason... | Filo
askfilo.com
6 个月之前
The sum of two positive integers is 98 . The integers are in th... | Filo
askfilo.com
已浏览 5837 次
2023年4月25日
2 - Integers
weebly.com
2017年2月10日
Adding and Subtracting Integers
Adding and Subtracting Integers
teachertube.com
已浏览 1.2万 次
2008年10月10日
Adding & Subtracting Integers Video
teacherspayteachers.com
2021年1月3日
3:11
283K views · 7.8K reactions | BASIC MATH REVIEW: Adding and Subtracting Integers for Kids #mathreview #mathforkids | Mathematics Tutorial | Facebook
Facebook
Mathematics Tutorial
已浏览 28.4万 次
2 周前
Question:The sum of two positive integers is positive. Reason... | Filo
6 个月之前
askfilo.com
The sum of two positive integers is 98 . The integers are in th... | Filo
已浏览 5837 次
2023年4月25日
askfilo.com
2 - Integers
2017年2月10日
weebly.com
Using number line, how do you compare two positive integers? -
…
2024年9月16日
shaalaa.com
′A ' and ' b ' are two positive integers Such that ab×b ? 800 .... | Filo
已浏览 6017 次
2022年12月26日
askfilo.com
Multiple Choice Questions1. If two positive integers a and b a... | Filo
已浏览 5908 次
2023年1月24日
askfilo.com
11:00
SECTION-A Determine how many pairs of positive integers ( a, b)... |
…
已浏览 5460 次
2022年12月16日
askfilo.com
Comparing Positive Integers | KS2 Maths Concept Video
2023年4月18日
twinkl.co.th
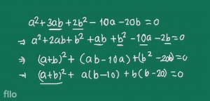
(i) The of positive integers is related to the Fundamental Theo... | Filo
已浏览 5361 次
2023年1月24日
askfilo.com
4:03
How to Compare Integers
已浏览 5700 次
2017年11月7日
Study.com
QUESTIONS6.1 There are two positive numbers. One number is t
…
已浏览 5789 次
2023年8月6日
askfilo.com
74 MATHIMNTIES (ii) The product of two consecutive positive int... | Filo
已浏览 5147 次
2022年12月8日
askfilo.com
6:30
Adding Positive & Negative Numbers | Overview, Steps & Exa
…
已浏览 2.8万 次
2015年3月3日
Study.com
3:56
Positive Integer | Definition, Examples & Operations
已浏览 9200 次
2015年9月27日
Study.com
1:20
LCM of two positive integers
3 周前
YouTube
Rommel MAGCALAS
1:34
If the HCF of two positive integers a and b is 1 then their LCM is #likea
…
已浏览 48 次
1 个月前
YouTube
MBC tution classes
3:04
Ex-4.1 Qn. 2(ii) Class 10th.(CBSE/NCERT) The product o
…
1 个月前
YouTube
VIVEK KUMAR
0:20
Positive integer solutions #math #mathematics #education
已浏览 97 次
3 个月之前
YouTube
Bisector
0:32
#how to identify positive and negative integers
已浏览 81 次
1 个月前
YouTube
Math with Bini
3:20
10th maths exercise 2.1-9,10 #prove that two consecutive positive inte
…
1 个月前
YouTube
JOS MATHS GALLERY
2:14
P and Q are two positive integers such that PQ=64. Which of the foll
…
2 个月之前
YouTube
SD Classes
a & b are two positive integers such that the least prime factor of a is
…
已浏览 1682 次
2024年9月3日
YouTube
Maths Power Break Easily MPBE
1:22
Understanding Integer Addition: Positive and Negative Numbers
已浏览 20.6万 次
8 个月之前
TikTok
mrghelpme
The geometric mean of squares of two positive integers is 10. The s
…
已浏览 17 次
11 个月之前
YouTube
ajit Jangra
A positive integer is twice another. The sum of the reciprocals of the t
…
2022年11月30日
numerade.com
2:22
How to find two positive numbers whose product is 100 and their su
…
已浏览 5.5万 次
2013年4月15日
YouTube
ProfessorMcComb
What are positive integers ???... | Filo
2023年2月14日
askfilo.com
2:46
Find two positive numbers whose product is 64 And Sum is a Minim
…
已浏览 4.6万 次
2018年5月20日
YouTube
Ms Shaws Math Class
9:17
Integers Tutorial + - Conceptual Understanding
已浏览 16.2万 次
2008年2月15日
YouTube
Tim Bedley
观看更多视频
更多类似内容
反馈